Реши математическое уравнение

Приложения:

Ответы

Ответ дал: dinapak2007
1

ответ:

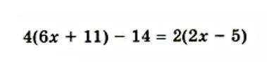
4(6x+11)-14=2(2x-5)\\24x+44-14=4x-10\\24x-4x=-10-44+14\\20x=-40\\x=2

Вас заинтересует