НУЖНА ПОМОЩЬ В СОЛЧНОМ ПОРЯДКЕ!
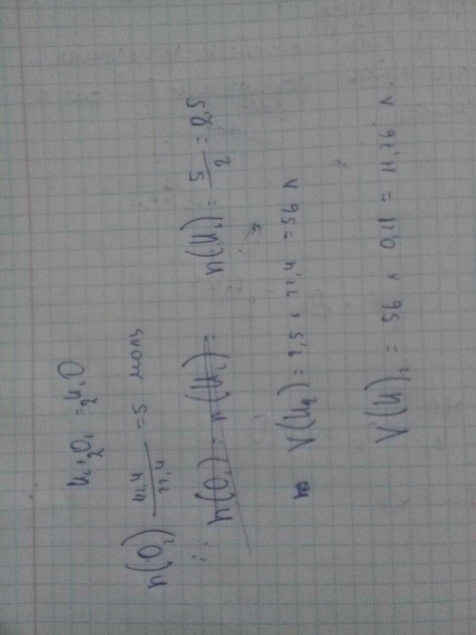
Найти объем воздуха, в котором сожгли 112.4 л H2 по схеме H2+O2--->H2O объемная доля кислорода в воздухе 21%
Ответы
Ответ дал:
0
Відповідь:
Пояснення:
Приложения:

Вас заинтересует
2 года назад
2 года назад
2 года назад
8 лет назад
8 лет назад
9 лет назад