• Предмет: Математика
  • Автор: andweekend7
  • Вопрос задан 7 лет назад

Помогите пожалуйста дам 30 баллов ​

Приложения:

Ответы

Ответ дал: Аноним
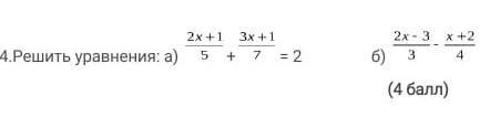
1

Ответ: а)2

б) -

Пошаговое объяснение:

умножим обе части на 35, чтобы избавиться от знаменателя. получим 14х+7+15х+5=70

29х=58; х=2

б)не вижу уравнения


andweekend7: это верно ??
andweekend7: спасибо большое
andweekend7: 2x - 3x +2
5
12
) 3 вотт
Ответ дал: ttaymazovaa
1
А)2
Б) к сожалению я не вижу уравнения
Вас заинтересует