Ответы
Ответ дал:
1
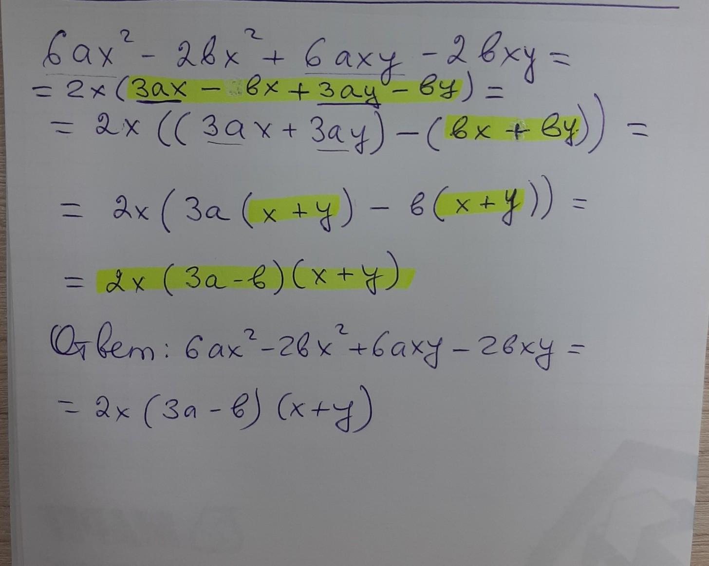
Ответ:
2x (3a-b)(x+y)
Объяснение:
смотри фото. жёлтым выделено то, что тебе нужно внести в квадраты
Приложения:

kt1640230:
Спасибо большое!
Вас заинтересует
2 года назад
2 года назад
2 года назад
2 года назад
8 лет назад
9 лет назад