взять одну из формул и написать программу

Приложения:

nikdissv: На Python?
zinkovartem1: На паскале

Ответы

Ответ дал: SalohiyatDP
1

На языке программирования Паскаль:

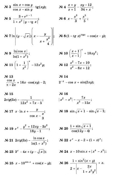
//Программа для формулы №3

uses math;

var

x,y,z: real;

begin

   write('Введите x = '); readln(x);

   write('Введите y = '); readln(y);

   z := ((sin(x)+cos(y))/(cos(x)-sin(y)))*tan(x*y);

   writeln('Ответ : ', z);

end.

//Программа для формулы №4

var

x,y,z: real;

begin

   write('Введите x = '); readln(x);

   write('Введите y = '); readln(y);

   z := ((x+y)/(x+1))-((x*y-12)/(34+x));

   writeln('Ответ : ', z);

end.

//Программа для формулы №5

uses math;

var

x,y,z: real;

begin

   write('Введите x = '); readln(x);

   write('Введите y = '); readln(y);

   z := (3+exp(y-1))/(1+power(x,2)*abs(y-tan(x)));

   writeln('Ответ : ', z);

end.

//Программа для формулы №6

uses math;

var

x,y,z: real;

begin

   write('Введите x = '); readln(x);

   write('Введите y = '); readln(y);

   z := x-(power(x,3)/3)+(power(x,5)/5);

   writeln('Ответ : ', z);

end.

//Программа для формулы №7

uses math;

var

x,y,z: real;

begin

   write('Введите x = '); readln(x);

   write('Введите y = '); readln(y);

   z := ln(abs((y-sqrt(abs(x)))*(x-y/(x+(power(x,2)/4)))));

   writeln('Ответ : ', z);

end.

//Программа для формулы №8

uses math;

var

x,y,z: real;

begin

   write('Введите x = '); readln(x);

   write('Введите y = '); readln(y);

   z := power((1-tan(x)),(1/tan(x)))+cos(x-y);

   writeln('Ответ : ', z);

end.

На языке программирования Python:

#Программа для формулы №3

import math as m

x = int(input("Введите x : "))

y = int(input("Введите y : "))

z = ((m.sin(x)+m.cos(y))/(m.cos(x)-m.sin(y)))*m.tan(x*y)

print("Ответ :", z)

#Программа для формулы №4

x = int(input("Введите x : "))

y = int(input("Введите y : "))

z = ((x+y)/(x+1))-((x*y-12)/(34+x))

print("Ответ :", z)

#Программа для формулы №5

import math as m

x = int(input("Введите x : "))

y = int(input("Введите y : "))

z = (3+pow(m.e,(y-1)))/(1+pow(x,2)*abs(y-m.tan(x)))

print("Ответ :", z)

#Программа для формулы №6

x = int(input("Введите x : "))

y = int(input("Введите y : "))

z = x-(pow(x,3)/3)+(pow(x,5)/5)

print("Ответ :", z)

#Программа для формулы №7

import math as m

x = int(input("Введите x : "))

y = int(input("Введите y : "))

z = m.log(abs((y-m.sqrt(abs(x)))*(x-y/(x+(pow(x,2)/4)))))

print("Ответ :", z)

#Программа для формулы №8

import math as m

x = int(input("Введите x : "))

y = int(input("Введите y : "))

z = pow((1-m.tan(x)),(1/m.tan(x)))+m.cos(x-y)

print("Ответ :", z)

Вас заинтересует