• Предмет: Химия
  • Автор: aleksakalaida2006
  • Вопрос задан 7 лет назад

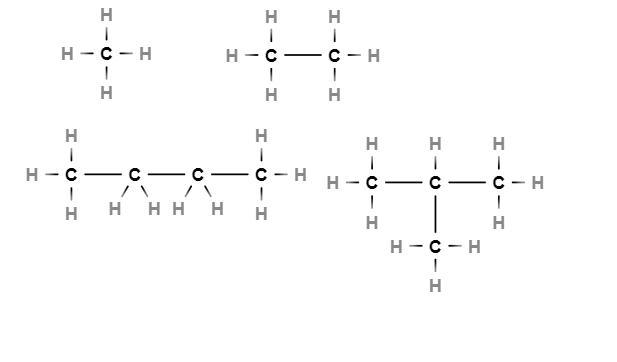
Розгорнута та напіврозгорнута структурна форма: метану, етану, бутану, 2-метил-пропан

Ответы

Ответ дал: zmzmN
1

Ответ:

я плохо знаю украинский, но насколько я понимаю - нужно написать структурные формулы

1) метан - ch4

2) этан - c2h6

3) бутан - c4h10

4) 2-метилпропан - ch3-ch(ch3)-ch3

Объяснение:

выдели ответ как лучший :)


aleksakalaida2006: еще надо написать структурную форму раскрытую и наполовину раскрытую
dasshtrudel: Я тебе скину развернутые, выбери его ответ.
zmzmN: броо, от души
dasshtrudel: Не то выбрала, на этом мои полномочия все)
Ответ дал: dasshtrudel
1

Ответ:

Развернутые формулы

Объяснение:

Приложения:

zmzmN: господи, и он не мог просто связью водород выделить
Вас заинтересует