ПОМОГИТЕ ПОЖАЛУЙСТА У МЕНЯ ТОЛЬКО 37 мин
Приложения:

ZanZanckih:
острапенко помоги зделать вопрос
Ответы
Ответ дал:
1
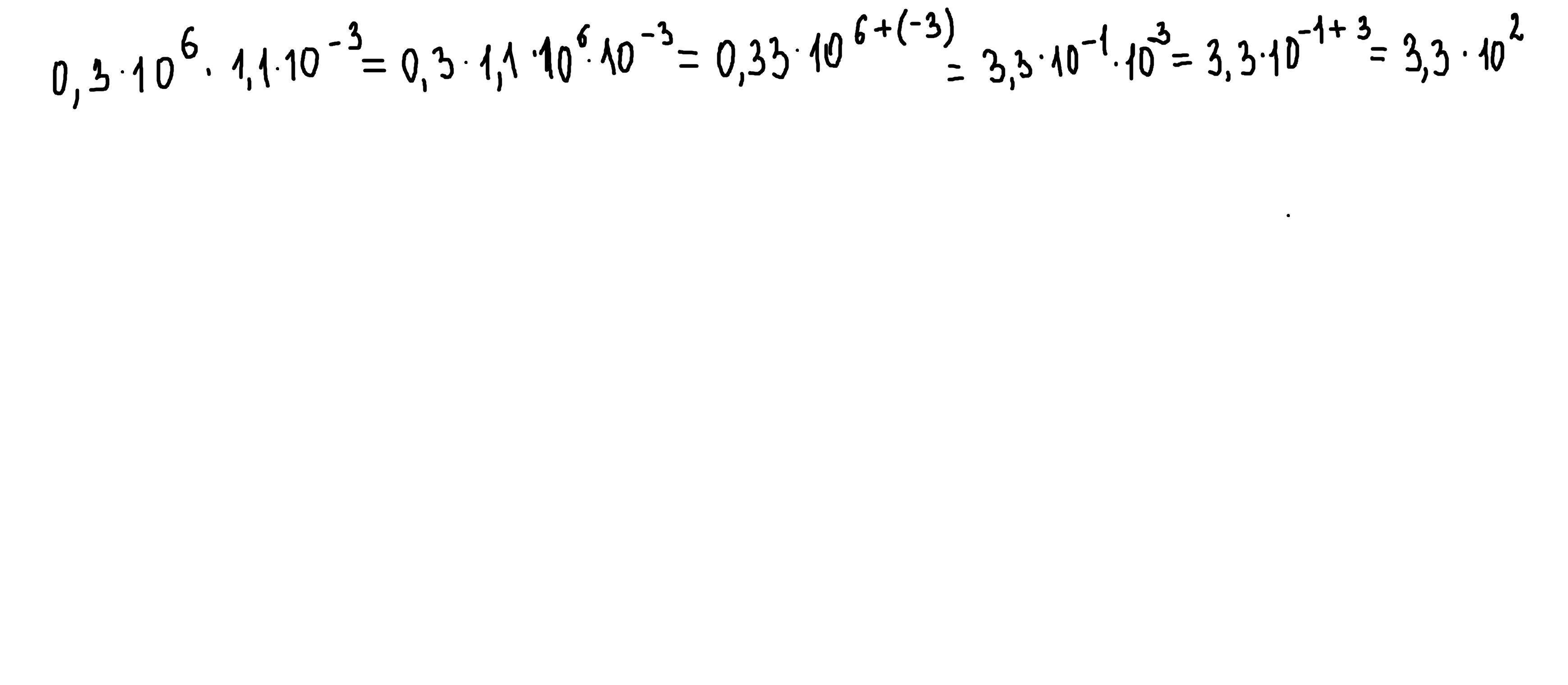
Ответ:
3,3 *10²
Пошаговое объяснение:
Приложения:

Вас заинтересует
2 года назад
2 года назад
8 лет назад
8 лет назад
9 лет назад
9 лет назад