• Предмет: Алгебра
  • Автор: esh79
  • Вопрос задан 7 лет назад

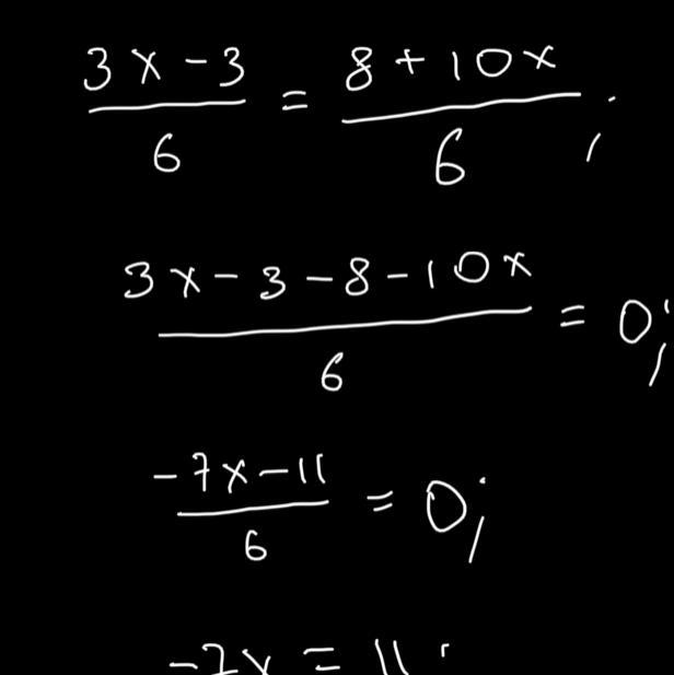
х-1 =4+5х
2 3





помогите пожалуйста,заранее спасибо ❤️​

Ответы

Ответ дал: ccantbe
1
ответ на фото расписан
Приложения:

ccantbe: там х= -11/7
ccantbe: в конце
Вас заинтересует