• Предмет: Математика
  • Автор: facemaink
  • Вопрос задан 7 лет назад

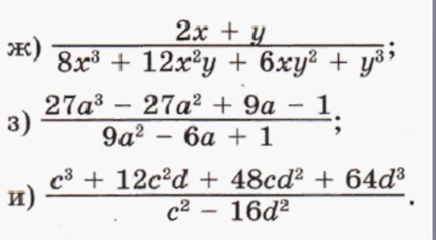
сократите дроби, Прошу, последние баллы...​

Приложения:

Ответы

Ответ дал: kamila114753
0

Ответ:

вот

..................

Приложения:
Вас заинтересует