Помогите пожалуйста с алгеброй!!!!!! Очень надо!!!!!! Номер 18.2
11 Класс!!!!!! КТО ЗНАЕТ ОТВЕТ!!!!!!!!! Заранее спасибо за помощь по алгебре!!!!!!
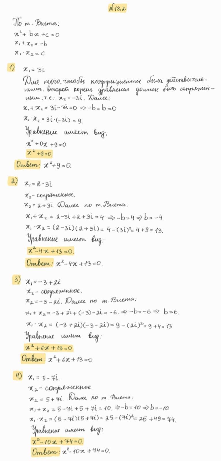
Приложения:

Ответы
Ответ дал:
3
~~~~~~~~~~~~~~~~~~~~
Приложения:

NamJooonnn29:
Здравствуйте вы не могли бы мне помочь с алгеброй пожалуйста
Вас заинтересует
2 года назад
2 года назад
2 года назад
2 года назад
8 лет назад
8 лет назад
9 лет назад