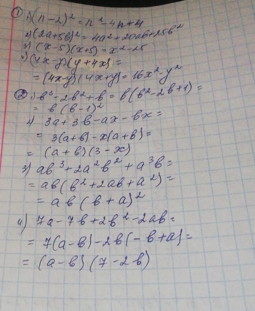
1)преобразуйте вырожение в многочлене стандартного вида
(n-2)^2
(2a+5b)^2
(x-5)(x+5)
(4x-y)(y+4x)
2)разложить на множетели многочлен
b^3-2b^2+b
3a+3b-ax-bx
ab^3+2a^2b^2+a^3b
7a-7b+2b^2-2ab
Ответы
Ответ дал:
1
Ответ:
=n²-4n+4
=4a²+20ab+25b²
=x²-25
=16x²-y²
=b(b²-2b+1)=b(b-1)²
=3(a+b)-x(a+b)=(3-x)(a+b)
=ab(b²+2ab+a²)=ab(b+a)²
=7(a-b)-2b(a-b)=(7-2b)(a-b)
Объяснение:
Ответ дал:
0
Ответ:
Смотри решение на фото...
Приложения:

Вас заинтересует
2 года назад
2 года назад
8 лет назад
9 лет назад
9 лет назад