• Предмет: Математика
  • Автор: Vektor200907
  • Вопрос задан 7 лет назад

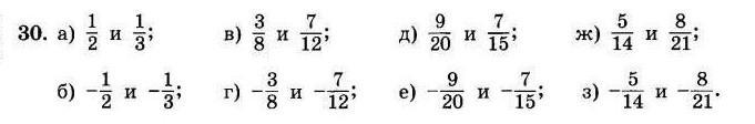
Помогите сравнить дроби​

Приложения:

Ответы

Ответ дал: dasicyrensojmpolov6
0

Ответ:

а) 1/2<1/3

б) -1/3>-1/3

в) 3/8<7/12

г-3/8>7/12

Вас заинтересует