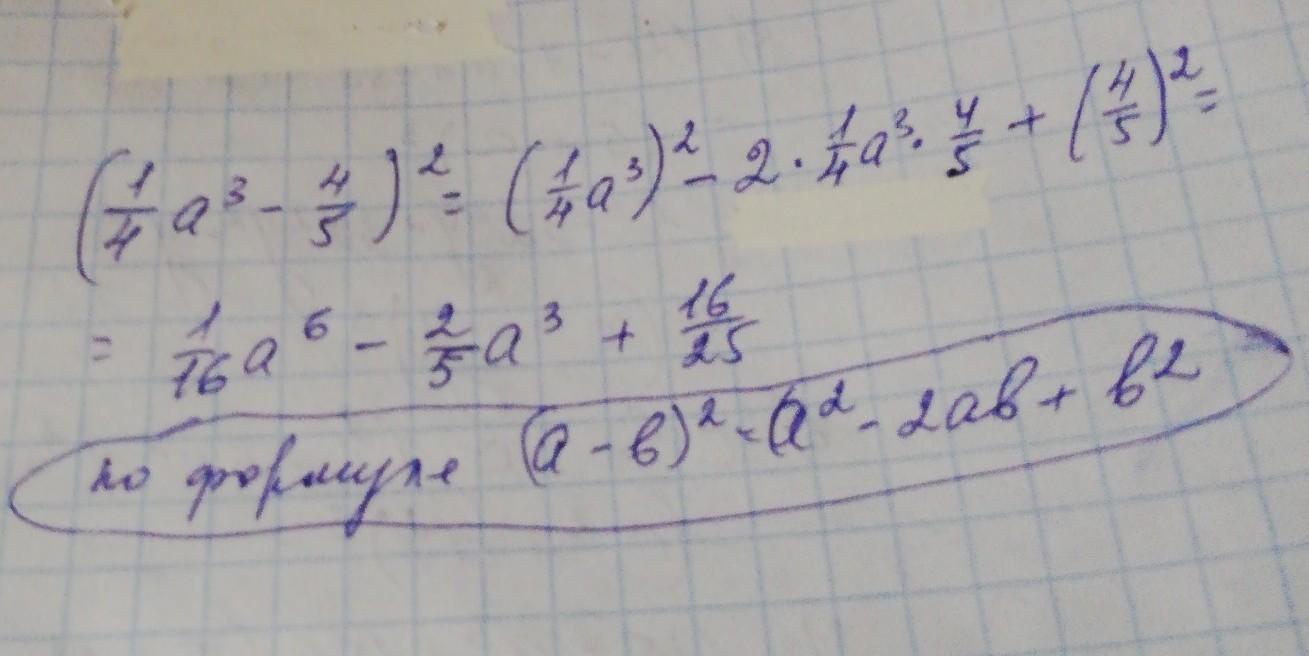
представьте квадрат двучлена в виде многочлена
пжжжжжжжжжж помогите
пожааааааааааайлуста
Приложения:

Ответы
Ответ дал:
1
Ответ:
Смотри решение на фото...
Приложения:

ruqiyaakmalova10:
спасибо большое
Вас заинтересует
2 года назад
2 года назад
2 года назад
8 лет назад
8 лет назад
9 лет назад