• Предмет: Алгебра
  • Автор: kamilahusainova2008
  • Вопрос задан 7 лет назад

умножение одночлена на многочлен​

Приложения:

Ответы

Ответ дал: larisaserova53
0

Ответ:

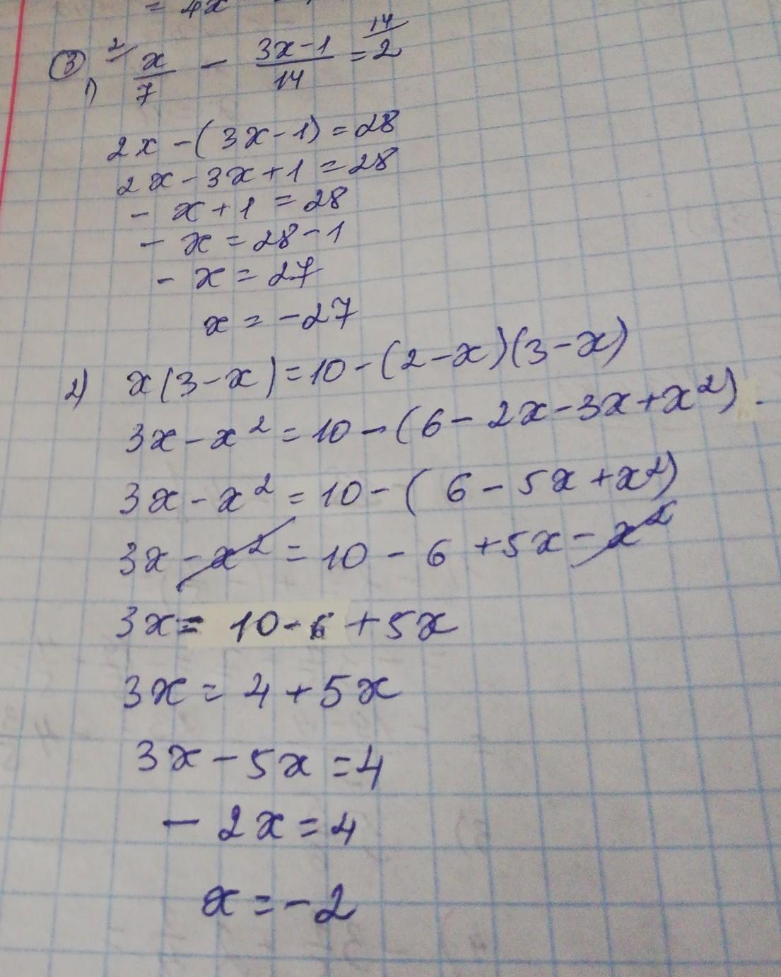
Смотри решение на фото..

Приложения:
Вас заинтересует