• Предмет: Математика
  • Автор: nanomed67
  • Вопрос задан 7 лет назад

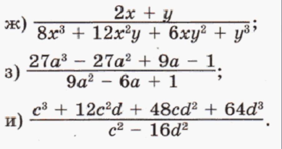
сократите дроби, прошу вас, срочно!!!!​

Приложения:

Ответы

Ответ дал: MuhammedGulu
0

Ответ:

Вот и ответы. Получилось немного неопрятный )

Приложения:
Вас заинтересует