Ответы
Ответ дал:
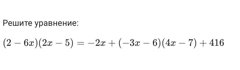
2
Ответ:
Объяснение:
...........
Приложения:

Аноним:
СПАСИБО!
Вас заинтересует
2 года назад
8 лет назад
9 лет назад