Помогите пожалуйста решить! С решением, было бы лучше если бы еще и с дано было написано
1. С какой силой взаимодействуют два заряда по 2 нКл каждый на расстоянии 10 см друг от друга?
2. Расстояние между двумя точечными зарядами уменьшили в 2 раза, а один из зарядов увеличили в 4 раза. Что произошло с силами взаимодействия между ними?
3. Какая сила действует на заряд 12 нКл, помещенный в точку, в которой напряженность электрического поля равна 2 кВ/м?
4. Два одинаковых по размеру металлических шарика несут заряды 2 мкКл и −4 мкКл. Шарики привели в соприкосновение и развели на некоторое расстояние, после чего сила их взаимодействия оказалась равной 40 Н. Определите это расстояние.
Ответы
Ответ дал:
1
Ответ:
1)
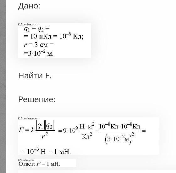
Дано:
q1=q2=10 нКл=10‐⁸ Кл
r=3см = 3×10‐²м
Объяснение:
‐этот минус с вверху ну типа -8 -2
Приложения:

Софочка47:
а откуда там 3?
Вас заинтересует
2 года назад
2 года назад
2 года назад
8 лет назад
8 лет назад
9 лет назад