• Предмет: Математика
  • Автор: maksimalekseev733
  • Вопрос задан 7 лет назад

помогите пожалуйста .У меня не как не принимают :(​

Приложения:

Ответы

Ответ дал: tetamotatetyamotya
2

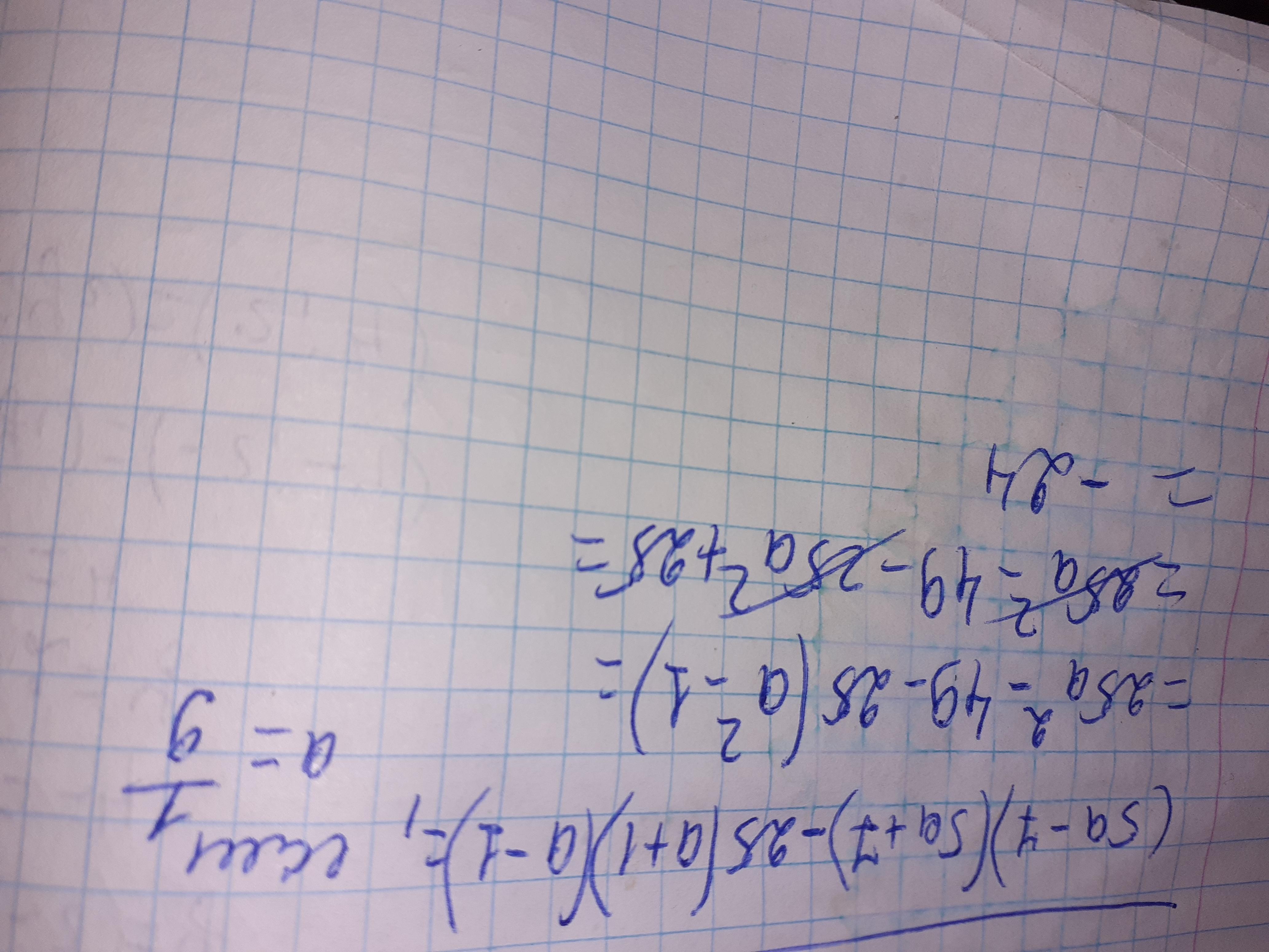
Ответ:вот

Пошаговое объяснение:

Приложения:
Ответ дал: rakhim069
0

Ответ: -24

________________

Вас заинтересует