Ответы
Ответ дал:
1
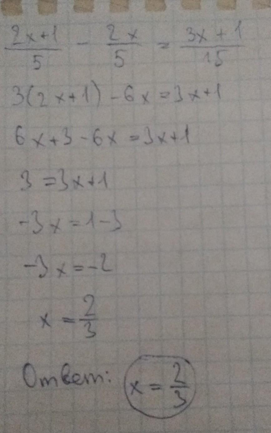
Ответ на ваш вопрос
Если помогла, сделаете ответ лучшим)
Приложения:

Вас заинтересует
2 года назад
8 лет назад
8 лет назад
9 лет назад