• Предмет: Алгебра
  • Автор: dodososo
  • Вопрос задан 7 лет назад

Решитеее пжжжжж срочнооо

Приложения:

Ответы

Ответ дал: Semak34rus
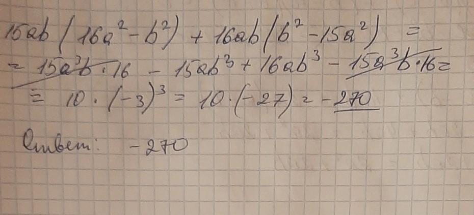
1

Ответ:

-270

Объяснение:

см. файл с пояснениями

Приложения:
Вас заинтересует