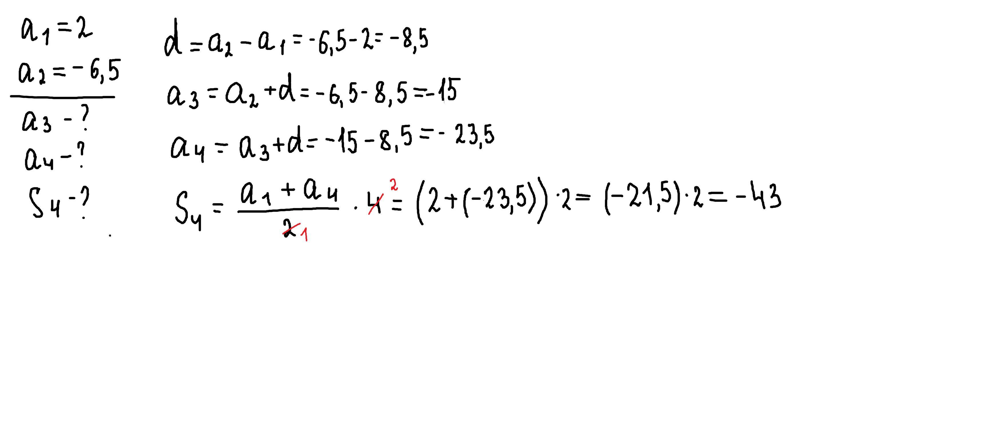
Вычисли следующие два члена арифметической прогрессии и сумму первых 4 членов если A1 = 2 и А2 =- 6,5
Приложения:

elzaromaskina:
пожалуйста,помогите быстрее!
Ответы
Ответ дал:
2
Ответ:
Пошаговое объяснение:
решение внизу
Приложения:

Вас заинтересует
2 года назад
2 года назад
2 года назад
2 года назад
8 лет назад
8 лет назад
9 лет назад
9 лет назад