Ответы
Ответ дал:
1
Ответ:
ответ в фото______________
Приложения:

Ответ дал:
1
Ответ:
Пошаговое объяснение:
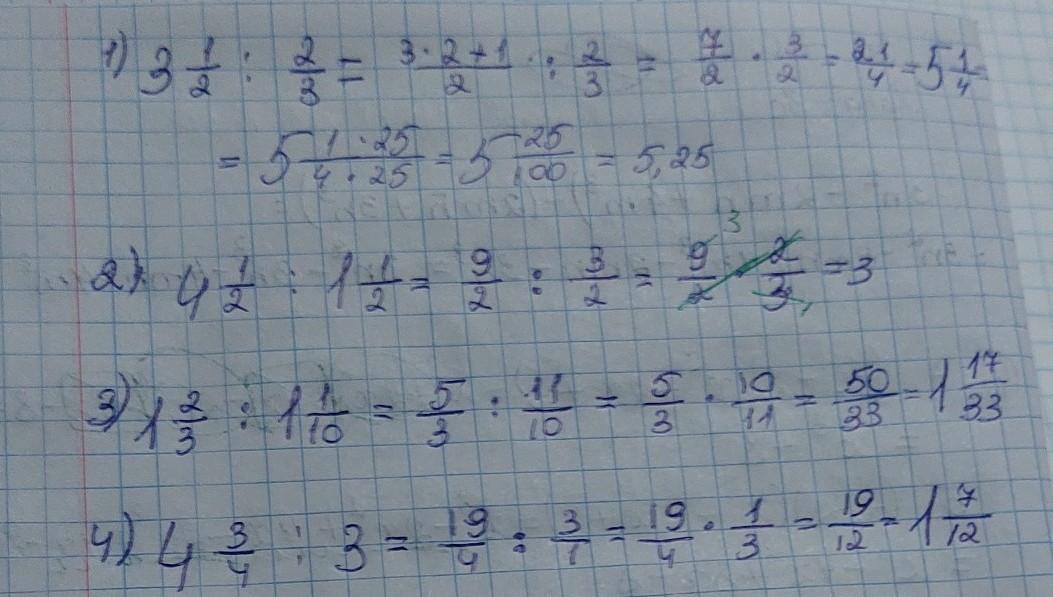
3. 1/2 : 2/3 = 7/2 : 2/3 = 7/2 * 3/2 = 21/4 = 5. 1/4
4. 1/2 : 1. 1/2 = 9/2 : 3/2 = 9/2 * 2/3 = 18/6 = 3
1. 2/3 : 1. 1/10 = 5/3 : 11/10 = 5/3 * 10/11 = 50/33 = 1. 17/33
4. 3/4 : 3 = 19/4 : 3 = 19/4 * 1/3 = 19/12 = 1. 7/12
Вас заинтересует
2 года назад
2 года назад
2 года назад
8 лет назад
8 лет назад
9 лет назад