• Предмет: Алгебра
  • Автор: Violetta13
  • Вопрос задан 11 лет назад

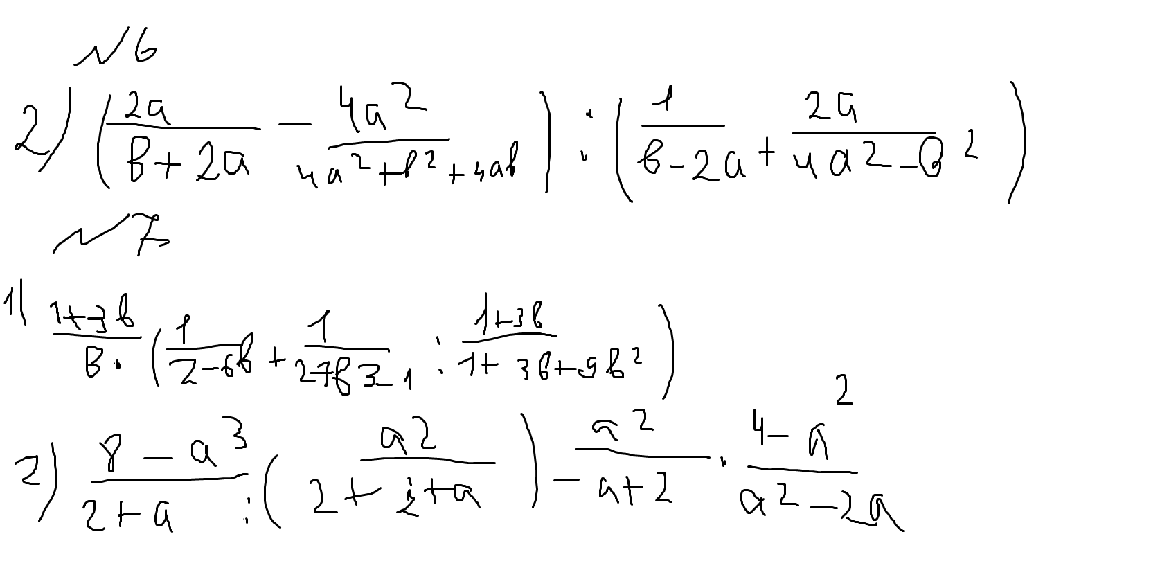
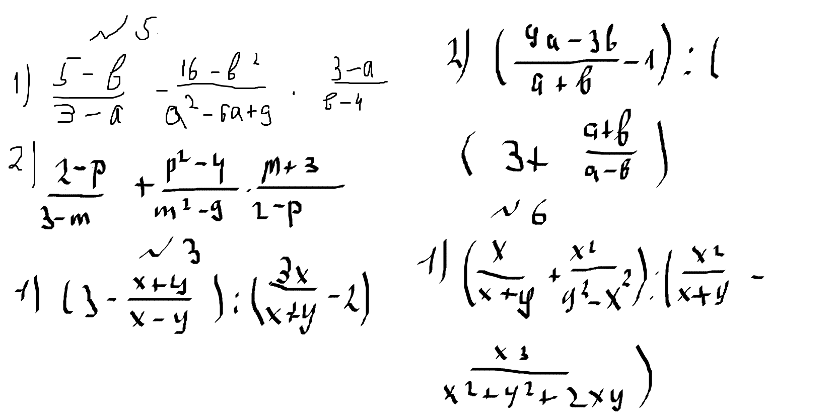
ПРОШУ РЕШИТЕ, ФАЙЛЫ ПРИКРЕПЛЕНЫ, ПРИМЕРЫ, ТЕМА: СОВМЕСТНЫЕ ДЕЙСТВИЯ НАД АЛГЕБРАИЧЕСКИМИ ДРОБЯМИ, СПАСИБО!!!!!!!!!!!!!!!!

Приложения:

Ответы

Ответ дал: mimina
0

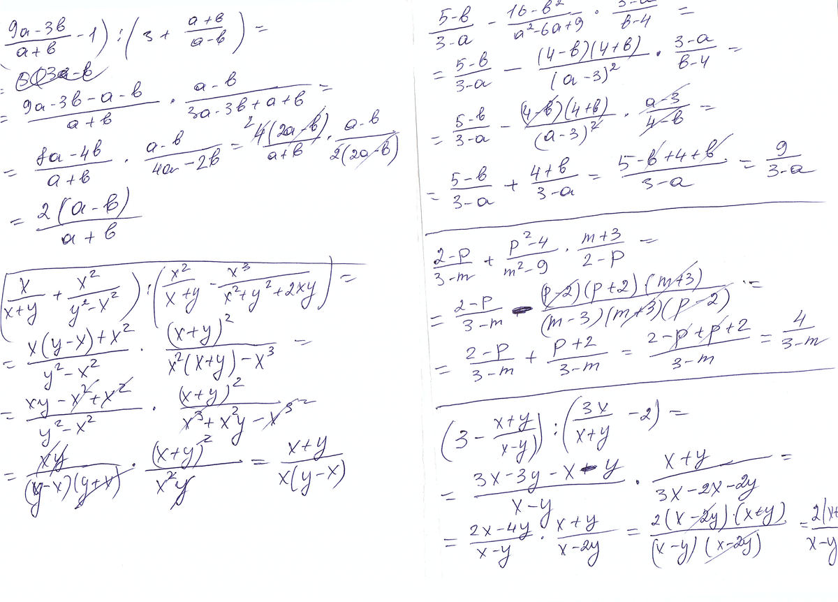
 решение первого листа во вложении

Приложения:
Ответ дал: terrymilk367
0

№5

а) 1) (4-б)(4+б)/(а-3)^2 умножить на (3-а)/(б-4)

        получаем (-б-4)/(3-а)

    2) выполняем вычитание, получаем: 9/(3-а)

б) 1) раскладываем по формулам: (р-2)(р+2)/(m-3)(m+3) умножить на (m+3)/(2-р)

        получаем (р+2)/(3-m)

    2) вычитаем, получаем: (2р)/(m-3)

№3

а) 1) выполняем действия в скобках. получаем в первой: (2(х-2у))/(х-у) а во второй: (х+2у)/(х+у)

    2) выполняем произведение: (2(х-2у))/(х-у) умножить на (х+2у)/(х+у)

б) 1) в первой скобке: (3а-4б)/(а+б) во второй: (4а-2б)/(а+б)

    2) умножаем их, только во второй дроби числитель меняем местами со знаменателем

 

Приложения:
Вас заинтересует