• Предмет: Алгебра
  • Автор: gjbdtjdsf
  • Вопрос задан 7 лет назад

7 клас, всё что на фото помогите​

Приложения:

Ответы

Ответ дал: NNNLLL54
1

Ответ:

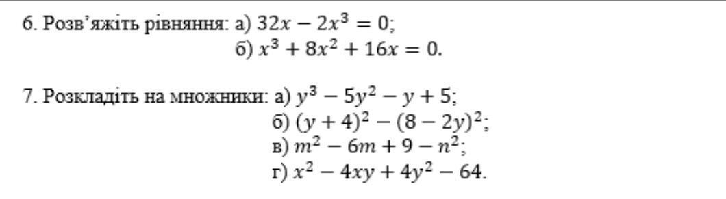
6)\ \ a)\ \ 32x-2x^3=0\ \ ,\ \ \ 2x\cdot (16-x^2)=0\ \ ,\\\\\star \ \ a^2-b^2=(a-b)(a+b)\ \ \star \\\\2x\cdot (4-x)(4+x)=0\\\\x_1=0\\\\4-x=0\ \ ,\ \ x_2=4\\\\4+x=0\ \ ,\ \ x_3=-4\\\\Otvet:\ \ x_1=0\ ,\ x_2=4\ ,\ x_3=-4\ .\\\\\\b)\ \ x^3+8x^2+16x=0\ \ ,\ \ \ \ \ \ \ \star \ (a+b)^2=a^2+2ab+b^2\ \star \\\\x\cdot (\underbrace{x^2+8x+16}_{(x+4)^2})=0\ \ ,\ \ x\cdot (x+4)^2=0\ ,\\\\x_1=0\\\\(x+4)^2=0\ \ \to \ \ x+4=0\  \,\ \ x_2=-4\\\\Otvet:\ \ x_1=0\ ,\ x_2=-4\ .

\boxed{\ a^2-b^2=(a-b)(a+b)\ }\\\\7)\ \ a)\ \ y^3-5y^2-y+5=y^2\cdot (y-5)-(y-5)=(y-5)(y^2-1)=\\\\=(y-5)(y-1)(y+1)\\\\b)\ \ (y+4)^2-(8-2y)^2=\Big((y+4)-(8-2y)\Big)\Big((y+4)+(8-2y)\Big)=\\\\=(3y-4)(12-y)\\\\c)\ \ \underbrace{m^2-6m+9}_{(m-3)^2}-n^2=(m-3)^2-n^2=\Big((m-3)-n\Big)\Big((m-3)+n\Big)=\\\\=(m-n-3)(m+n-3)\\\\d)\ \ \underbrace{x^2-4xy+4y^2}_{(x-2y)^2}-64=(x-2y)^2-8^2=\Big((x-2y-8\Big)\Big((x-2y)+8\Big)=\\\\=(x-2y-8)(x-2y+8)

Ответ дал: Аноним
1

Ответ: во вложении

Объяснение: в фигурных скобках - черновик - подсказка.

Приложения:
Вас заинтересует