Ответы
Ответ дал:
1
Приложения:

configshared1:
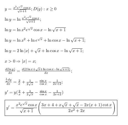
А почему натуральный логарифм так разложен в третьей строчке? ведь правая часть второй строчки должна раскладываться как ln(ab) = lna + lnb. => lnx^2 + lne^sqrt(x) + lncosx - ln(x+1)^-1/2
Вас заинтересует
2 года назад
2 года назад
2 года назад
8 лет назад
8 лет назад
9 лет назад
9 лет назад