• Предмет: Алгебра
  • Автор: m1keyoto
  • Вопрос задан 7 лет назад

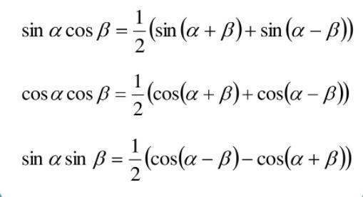
Подати у вигляді суми​

Приложения:

Ответы

Ответ дал: NNNLLL54
1

Ответ:

\displaystyle a)\ \ cos\frac{\pi}{5}\cdot sin\frac{\pi}{5}=\frac{1}{2}\cdot \Big(sin\frac{2\pi}{5}+sin0\Big)=\dfrac{1}{2}\, sin\dfrac{2\pi}{5}+0\\\\\\b)\ \ sin20^\circ \cdot sin40^\circ =\frac{1}{2}\codt \Big(cos(40^\circ -20^\circ )-cos(40^\circ +20^\circ )\Big)=\frac{1}{2}\cdot \Big(cos20^\circ -cos60^\circ \Big)=\\\\=\frac{1}{2}\cdot \Big(cos20^\circ -\frac{1}{2}\Big)=\frac{1}{2}\, cos20^\circ -\dfrac{1}{4}

c)\ \ (sin25^\circ \cdot sin5^\circ )\cdot cos15^\circ =\dfrac{1}{2}\cdot \Big(cos(25^\circ -5^\circ )-cos(25^\circ +5^\circ )\Big)\cdot cos15^\circ =\\\\=\dfrac{1}{2}\cdot \Big(cos20^\circ -cos30^\circ \Big)\cdot cos15^\circ =\dfrac{1}{2}\cdot \Big( cos20^\circ \cdot cos15^\circ -\dfrac{\sqrt3}{2}\, cos15^\circ \Big)=\\\\=\dfrac{1}{2}\cdot \Big(\dfrac{1}{2}\Big(cos(20^\circ +15^\circ)+cos(20^\circ -15^\circ )\Big)-\dfrac{\sqrt3}{2}\, cos15^\circ \Big)=

=\dfrac{1}{4}\cdot \Big(cos35^\circ +cos5^\circ -\sqrt3\, cos15^\circ \Big)=\dfrac{1}{4}\, cos35^\circ +\dfrac{1}{4}\, cos5^\circ -\dfrac{\sqrt3}{4}\, cos15^\circ            

Приложения:
Вас заинтересует