• Предмет: Математика
  • Автор: stesha34
  • Вопрос задан 7 лет назад

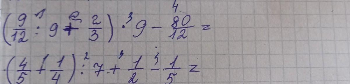
пжппжжппж помогите хелп ми ​

Приложения:

Ответы

Ответ дал: max939393
0

Ответ:

1/12, 9/20. Вроде правильно

Вас заинтересует