• Предмет: Алгебра
  • Автор: f53709159
  • Вопрос задан 7 лет назад

Представьте в виде многочлена стандартного вида:
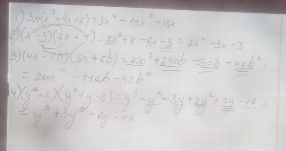
1) 3х*(х(в кубе)-4х+6) 2) (х-3)*(2х+1) 3) (4а-7b)*(5a+6b)
4) (y+2)*(y(в квадрате)+у-8)

Ответы

Ответ дал: evdosakelizaveta
1

Объяснение:

думаю, увидишь, что там написано

Приложения:
Вас заинтересует