Куда двойка делась в действии?
Приложения:

Erann123:
А вопрос можно поконкретнее? Нужно сделать то, что просят на листочке?
Ответы
Ответ дал:
1
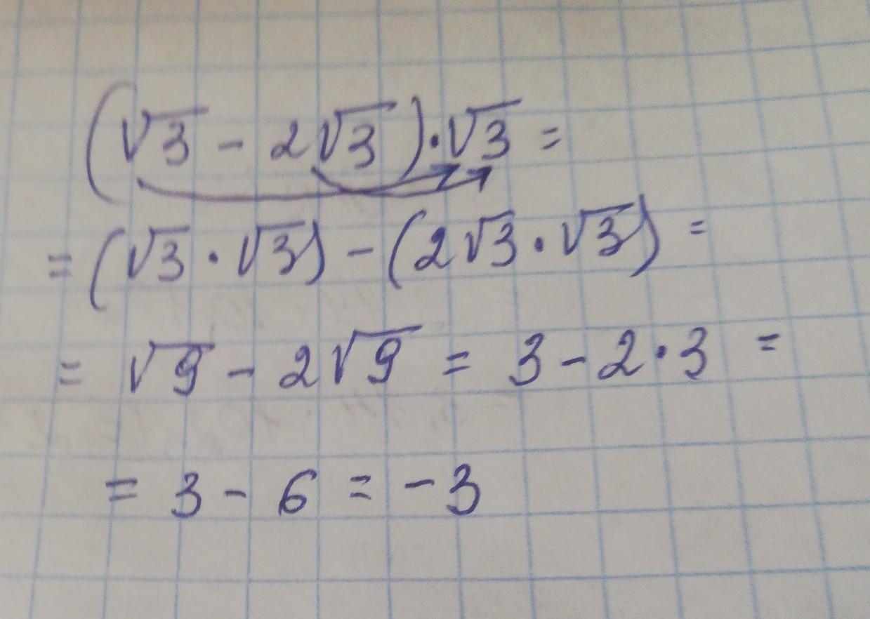
решение во вложении...
Приложения:

Ответ дал:
0
Ответ:
Смотри решение на фото...
Приложения:

Вас заинтересует
2 года назад
2 года назад
2 года назад
8 лет назад
8 лет назад
9 лет назад
9 лет назад