• Предмет: Алгебра
  • Автор: ignatzhukovv
  • Вопрос задан 7 лет назад

Не могу решить. Спаисте пж (надо разложить на множители)
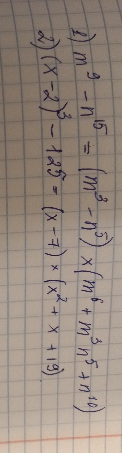
1) m^9-n^15
2)(x-2)^3-125

Ответы

Ответ дал: kakakashaka
2

Ответ:

да

Объяснение:

дахваха9а9в99взы9у9229

Приложения:

andekkerz: сп
Вас заинтересует