• Предмет: Математика
  • Автор: savichenkoalisa
  • Вопрос задан 7 лет назад

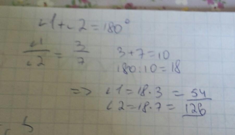
Дано: угол 1 и угол 2- смежные, угол 1=26 градусов
Найти: угол 2
Пожалуйста помогите срочно!

Приложения:

Ответы

Ответ дал: KimLisa18
1

Ответ:

∠2=154°

Пошаговое объяснение:

∠1+∠2=180°

∠2=180°-∠1=180°-26°=154°

Ответ дал: katerina02332
0

Ответ:

сумма смежных углов равна 180°Пошаговое объяснение:

Приложения:
Вас заинтересует