• Предмет: Алгебра
  • Автор: Аноним
  • Вопрос задан 7 лет назад

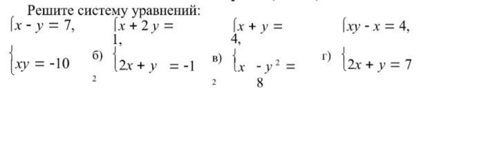
дам 10 баллов срочно!​

Приложения:

Ответы

Ответ дал: zuriatagabekova
0

Ответ:

ОтОтвет

Объяснение:

Приложения:
Вас заинтересует