• Предмет: Алгебра
  • Автор: playht
  • Вопрос задан 7 лет назад

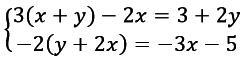
Решите систему уравнений графическим методом.
очень сильно благодарю

Приложения:

Ответы

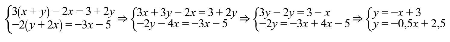
Ответ дал: palilov243659
1

Ответ:

x=1

y=2

Объяснение:

/////////////////////

Приложения:
Вас заинтересует