Помогите пожалуйста решить пример
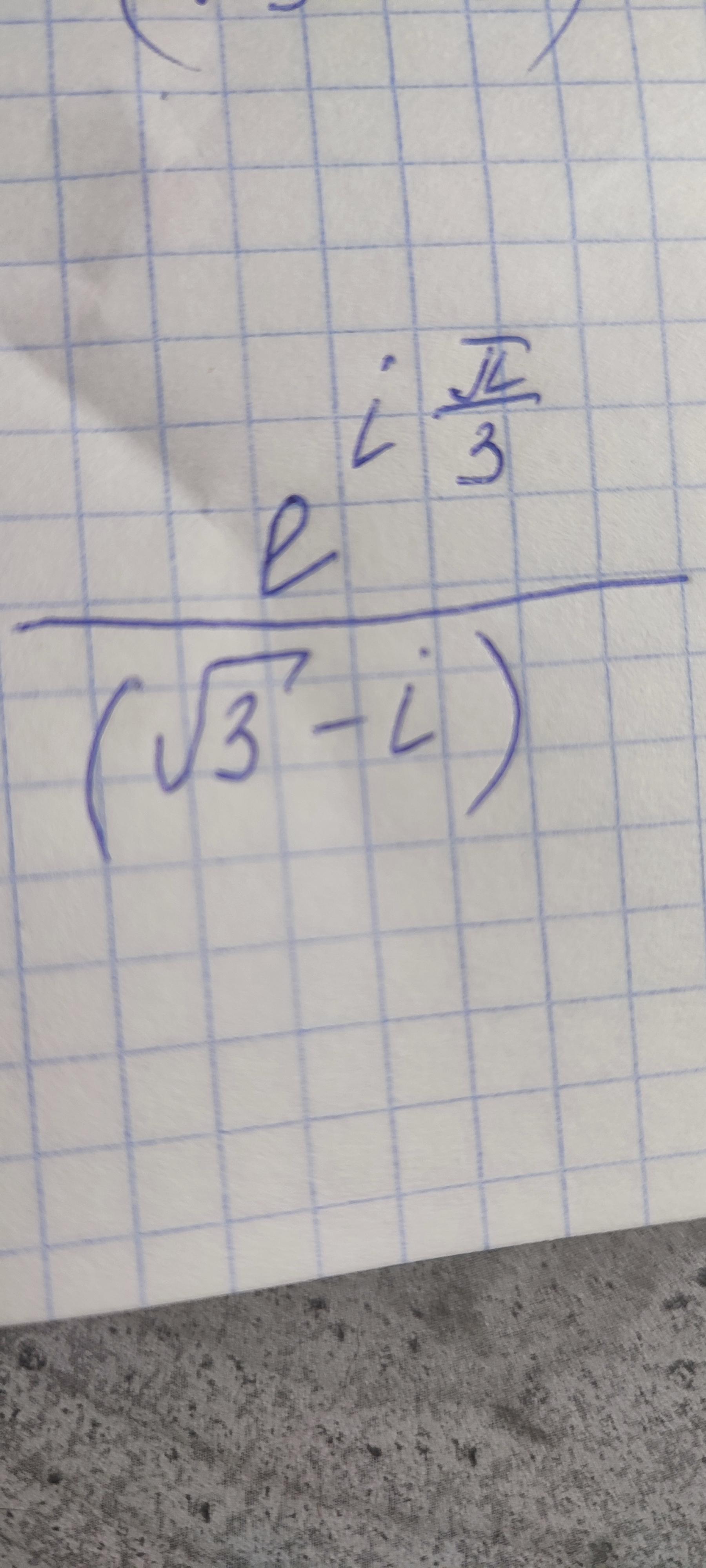
е^i*π/3/(√3-i)
Приложения:

surgu4evm:
Пример очень непонятно без скобок написан
Ответы
Ответ дал:
1
Ответ:
Имеем (1)
Воспользуемся тождеством Эйлера:
(1) =
Ответ:
Вас заинтересует
2 года назад
2 года назад
8 лет назад
8 лет назад
9 лет назад