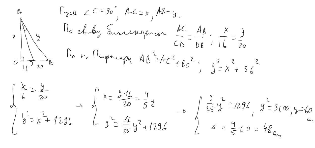
Биссектриса острого угла прямоугольного треугольника делит катет на отрезки 16см и 20см. Найти катет и гипотенузу прямоугольного треугольника
Ответы
Ответ дал:
1
Ответ:
48 см, 60 см
Объяснение:
Приложения:

Вас заинтересует
2 года назад
2 года назад
2 года назад
2 года назад