• Предмет: Алгебра
  • Автор: Miri77777777777777
  • Вопрос задан 7 лет назад

Решите пожалуйста хоть что-то из этого :(

Приложения:

Ответы

Ответ дал: blank098
2

Ответ:

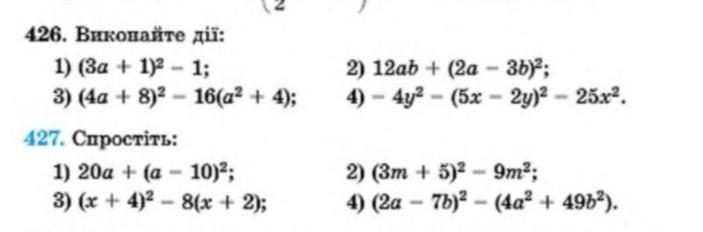
426 1)=9а²+6а+1-1=9а²+6а

2)=12аb+4a²-12ab+9b²=4a²-9b²

3)=16a²+64a+64-16a²+64=64a+128

4)-4y²-25x²-20xy-4y²-25x²=-8y²-50x²-20xy


akazanovavaleria: спасибо большое
blank098: если надо я могу 427 решить
blank098: ??
Miri77777777777777: Да, можно пожалуйста?
blank098: ок
blank098: прости что так долго не отвечала
blank098: 1)=20a+a²+20a+100=40a+a²+100;2)=9m²+30m+25-9m²=30m+25;3)x²+8x+16-8x-16=x²;4)4a²-28ab+49b²-4a²-49b²=-28ab
Miri77777777777777: Спасибо большое,вы очень помогли!
blank098: да не за что )
Вас заинтересует