• Предмет: Алгебра
  • Автор: ZhantemirZhalgas
  • Вопрос задан 7 лет назад

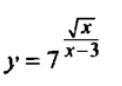
Можете решить пожалуйста. Найти область определения функции

Приложения:

Ответы

Ответ дал: Universalka
1

\displaystyle\bf\\y=7^{\frac{\sqrt{x} }{x-3} } \\\\\left \{ {{x\geq 0} \atop {x-3\neq 0}} \right. \\\\\\\left \{ {{x\geq 0} \atop {x\neq 3} \right. \\\\\\Otvet:x\in\Big[0 \ ; \ 3\Big) \ \cup \ \Big(3 \ ; \ +\infty\Big)


ZhantemirZhalgas: а как вы от 7рки избавились?
ZhantemirZhalgas: и почему одз именно такая в ответе?
Вас заинтересует