Ответы
Ответ дал:
1
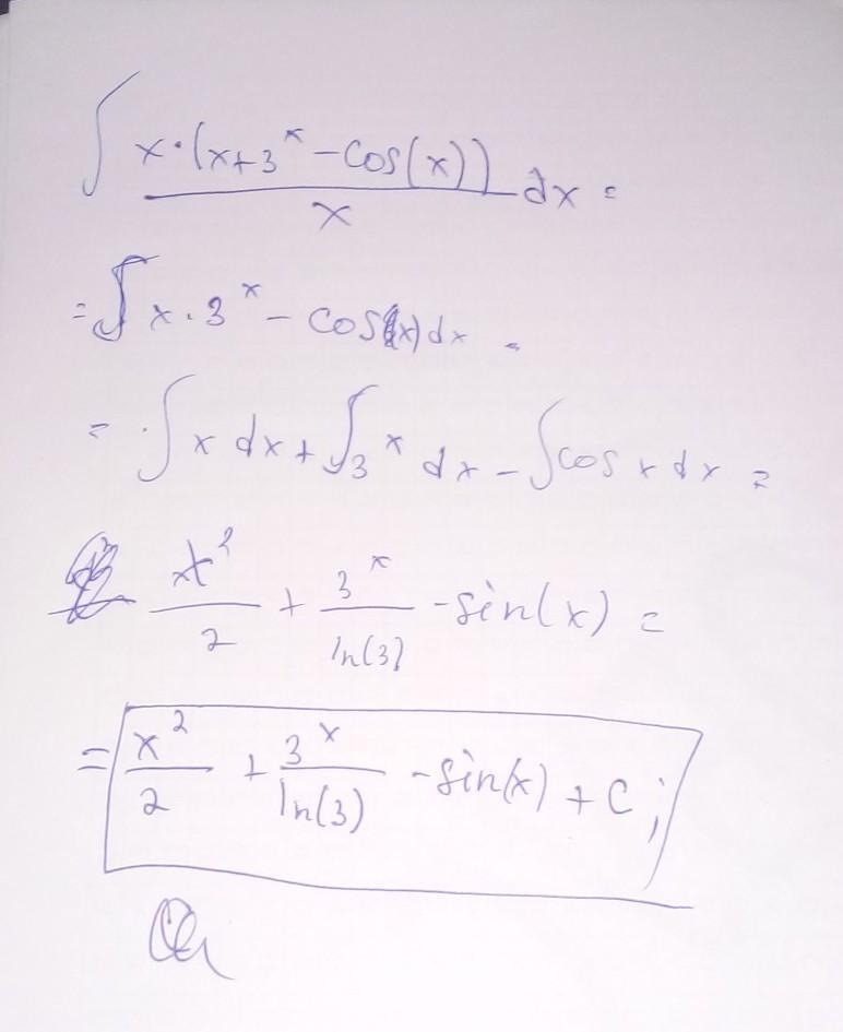
Ответ:
x2/2+9x-sin(x)+C,C∈R
Пошаговое объяснение:
∫x*(x+3²-cos(x))/ x dx
∫x+3²-cos(x)dx
∫x+9-cos(x)dx
∫x dx+∫9dx - ∫cos(x)dx
x²/2+9x-sin(x)
x2/2+9x-sin(x)+C,C∈R
Ответ дал:
1
Вот.........................
Приложения:

Вас заинтересует
2 года назад
2 года назад
2 года назад
9 лет назад