• Предмет: Алгебра
  • Автор: Аноним
  • Вопрос задан 11 лет назад

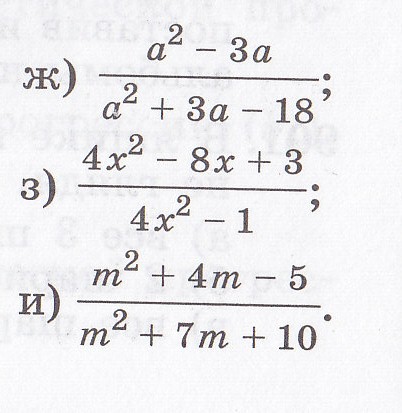
Сократите дробь: 

 

Приложения:

Ответы

Ответ дал: LeraLera26
0

ж) а(а-3) / (а-3) (а+6)

 

знаменатель получили, решив квадратное уравнение через Дискриминант, получили два корня 3 и - 6

 

Далее: сокращаем скобки в числ. и знам. (а-3), получаем а / а-6

 

з) Решаем и числ. и знам. как квадратные уравнения. Только в знаменателе 1 переносим в правую часть. В итоге получаем дробь: (х-1/2) (х+12/8) / (х-1/2) (х+1/2) 

Сокращаем скобки в числ. и знамен. (х-1/4) 

 

и) Всё делаем таким же образом

Вас заинтересует