• Предмет: Алгебра
  • Автор: STANISLAW228
  • Вопрос задан 7 лет назад

8 класс алгебра. Знаменатель правильной дроби на 1 больше числителя. Если числитель и знаменатель уменьшить на 1, то дробь уменьшится на 1/6. Найди исходную дробь.


Запиши в каждое поле ответа верное число или выражение без пробелов. Для обозначения обыкновенной дроби используй /.


1)Пусть числитель дроби равен x,x, тогда знаменатель равен ___


2)Если числитель уменьшить на 1 , он будет равен __. Если знаменатель уменьшить на 1 , он будет равен ___.


3)Так как новая дробь на 1/16 меньше, получим уравнение: x/x+1-x-1/x = ___


4) Корни в порядке возрастания: x1=__, x2=__


Если числитель исходной дроби равен __, То знаменатель равен __: получается неправильная дробь, что не соответствует условию.


Значит, числитель исходной дроби равен __, знаменатель равен __

Приложения:

Ответы

Ответ дал: Evreika77
5

Ответ: дробь 2/3

Объяснение:

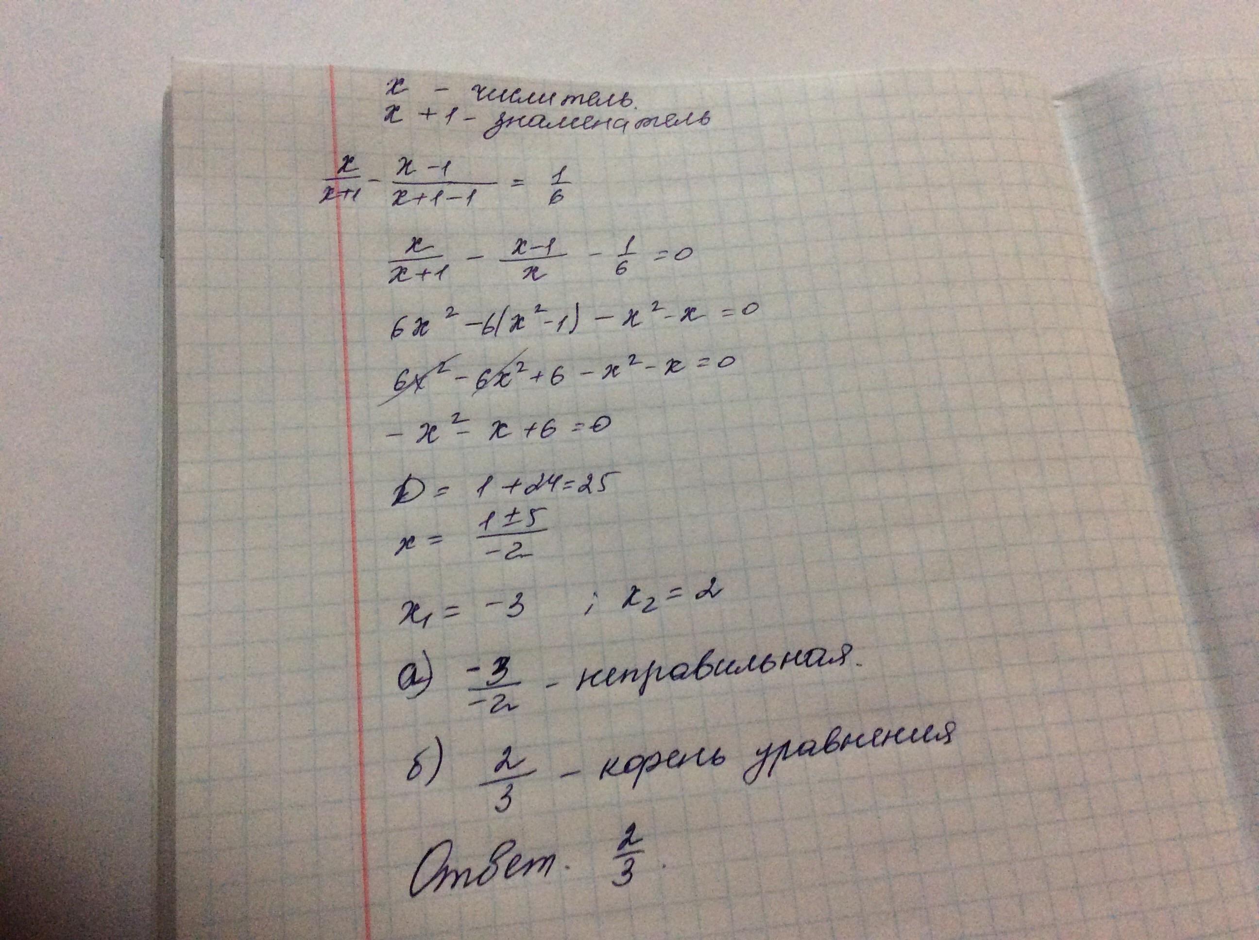
1)Пусть числитель дроби равен x, тогда знаменатель равен (х+1)

2)Если числитель уменьшить на 1 , он будет равен (х-1). Если знаменатель уменьшить на 1 , он будет равен (х+1-1).

3)Так как новая дробь на 1/16 меньше, получим уравнение: x/x+1-x-1/x = 1/6

4) Корни в порядке возрастания: x1= -3, x2= 2

Если числитель исходной дроби равен -3, То знаменатель равен -2: -3/-2

получается неправильная дробь, что не соответствует условию.

Значит, числитель исходной дроби равен 2, знаменатель равен 3

Приложения:
Вас заинтересует