• Предмет: Математика
  • Автор: fwliwtd
  • Вопрос задан 7 лет назад

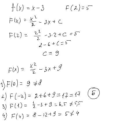
Функція F є первісною функції f(x)=x-3. Через яку з наведених точок проходить графік функції F, якщо F (2)=5


А). (0;8);
Б). (-2;17);
В). (1; 5,5)
Г). (4; 4).

Ответы

Ответ дал: dashulka22222
6

Ответ:

Б

Пошаговое объяснение:

Приложения:
Вас заинтересует