• Предмет: Алгебра
  • Автор: ochkatochka12
  • Вопрос задан 7 лет назад

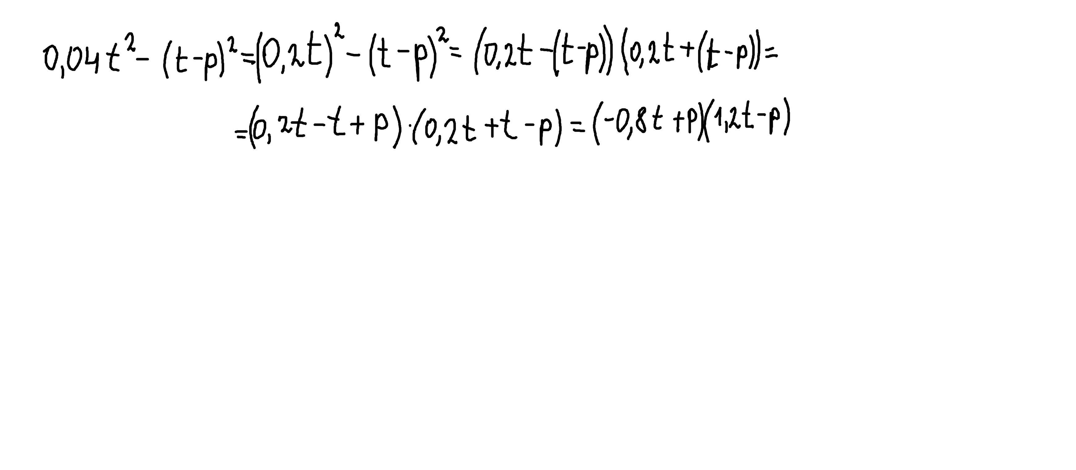
разложи на множители 0,04t^2-(t-p)^2

Ответы

Ответ дал: parus77
0

Ответ:

0,04t²-(t-p)²=(-0,8t+p)(1,2t-p)

Объяснение:

решение внизу

Приложения:
Вас заинтересует