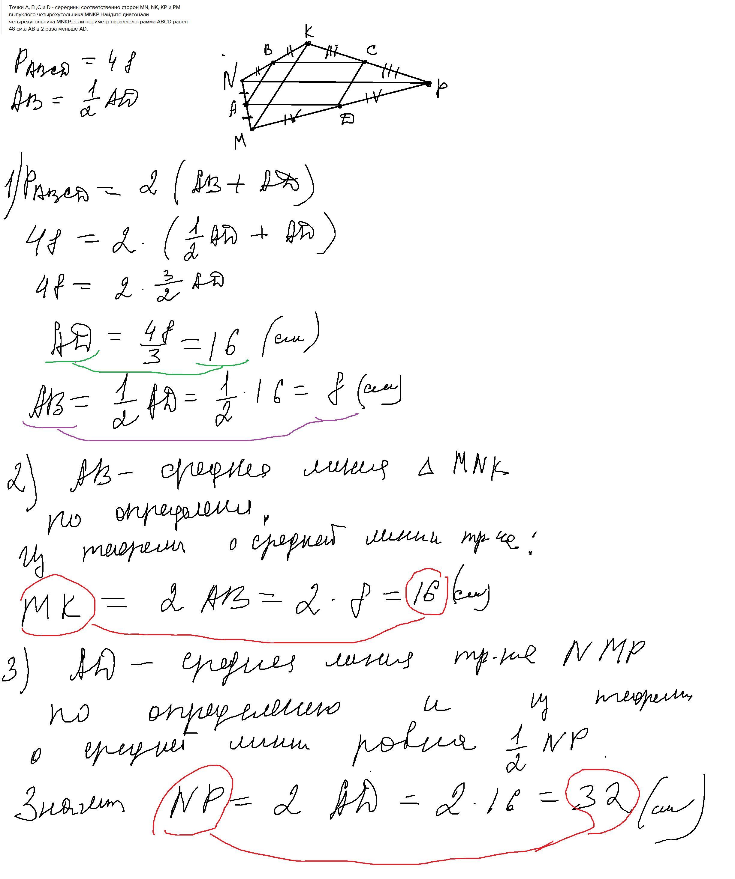
Точки A, B ,C и D - середины соответственно сторон MN, NK, KP и PM выпуклого четырёхугольника MNKP.Найдите диагонали четырёхугольника MNKP,если периметр параллелограмма ABCD равен 48 см,а AB в 2 раза меньше AD.
Ответы
Ответ дал:
1
Ответ:
Объяснение:Точки A, B ,C и D - середины соответственно сторон MN, NK, KP и PM выпуклого четырёхугольника
Приложения:
Вас заинтересует
2 года назад
2 года назад
3 года назад
3 года назад
8 лет назад
8 лет назад
10 лет назад
10 лет назад