• Предмет: Алгебра
  • Автор: bukatkoigor10
  • Вопрос задан 7 лет назад

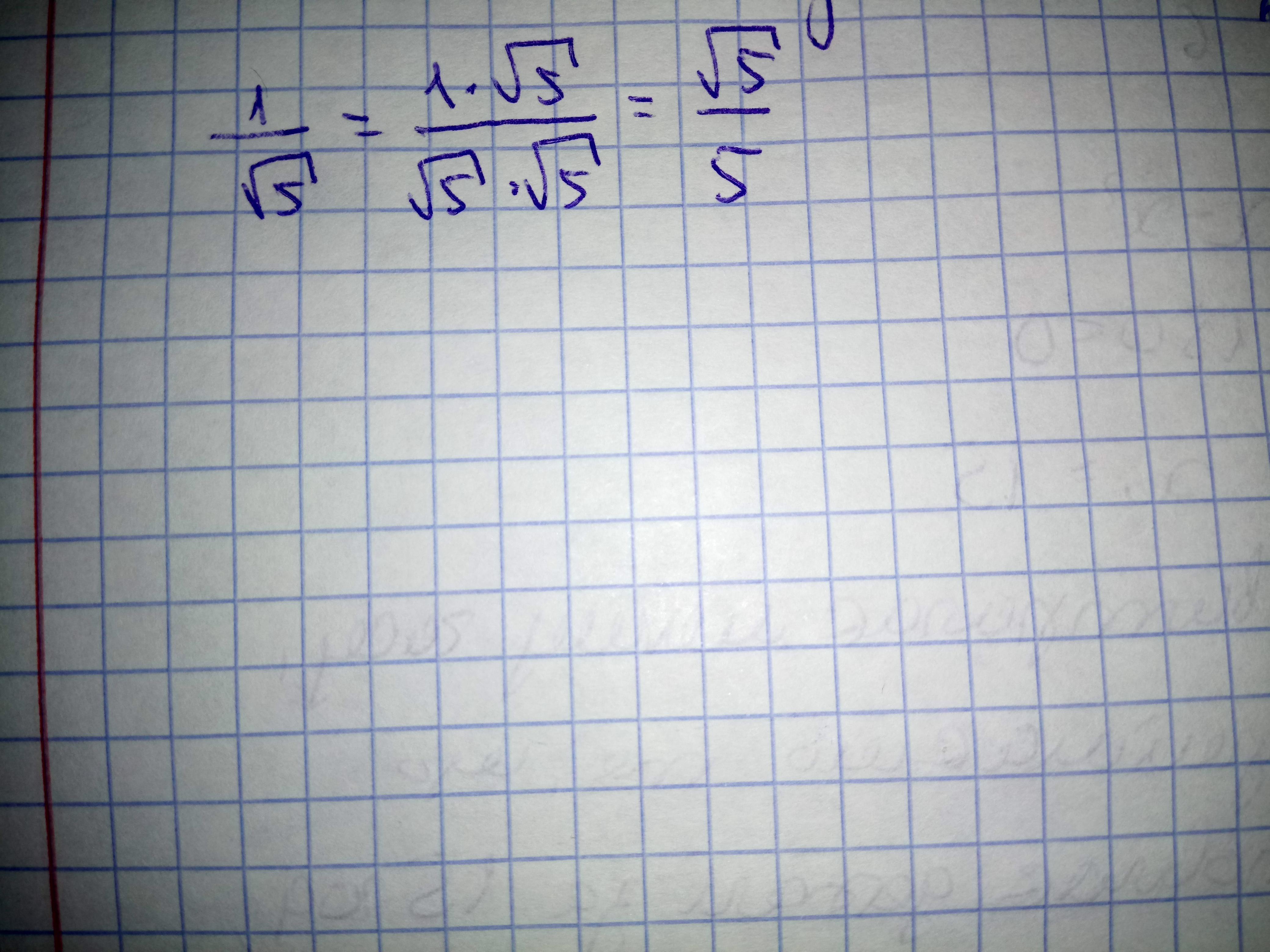
Звільнитися від ірраціональності у дробу 1/√5

Ответы

Ответ дал: Аноним
0

Ответ:

Объяснение:

Фото

Приложения:
Вас заинтересует