• Предмет: Алгебра
  • Автор: darkness49
  • Вопрос задан 7 лет назад

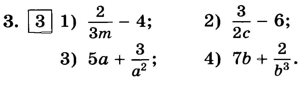
помогите пожалуйста 7 класс алгбера​

Приложения:

darkness49: помогите прошу, это очень нужно аххаха
jajahelpo999: понятно

Ответы

Ответ дал: jajahelpo999
1

Ответ:

1). 2) c=3. 3) 5a³+3. 4) 7b⁴ + 2

2-12m. ---------- ---------

--------- a² b³

3m

Дайте лучший ответ


jajahelpo999:
jajahelpo999: это четвёртый
jajahelpo999: можно лучший ответ?
darkness49: а как сделать аххаха
jajahelpo999: там кнопка есть
jajahelpo999: рядом с ответом
darkness49: у меня только лайк и оценкв
darkness49: я тебе 5 поставила
jajahelpo999: там есть Круг рядом с лайком оценкой где написано: Отметить как лучший ответ?
darkness49: неа
Вас заинтересует