• Предмет: Алгебра
  • Автор: baltaszanuzak92
  • Вопрос задан 7 лет назад

СРОЧНО ПОМАГИТЕ 20БАЛЛ!!!​

Приложения:

Ответы

Ответ дал: Пеппер
2

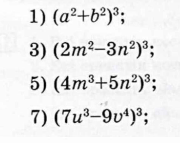
1) (a²+b²)³=a⁶+3a⁴b²+3a²b⁴+b⁶

3) (2m²-3n²)³=8m⁶-18m⁴n²+18m²n⁴-27n⁶

5) (4m³+5n²)³=64m⁹+60m⁶n²+60m³n⁴+125n⁶

7) (7u³-9v⁴)³=343u⁹-189u⁶v⁴+189u³v⁸-729v¹²

Вас заинтересует