Ответы
Ответ дал:
0
Ответ:
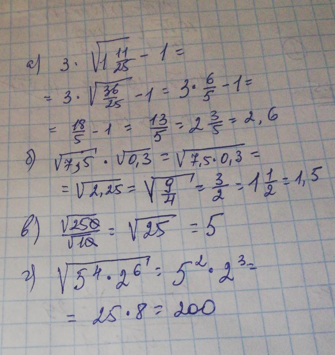
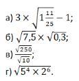
Смотри решение на фото...
Приложения:

larisaserova53:
Если что-то непонятно, спрашивай-отвечу
Вас заинтересует
2 года назад
2 года назад
2 года назад
2 года назад
8 лет назад
8 лет назад