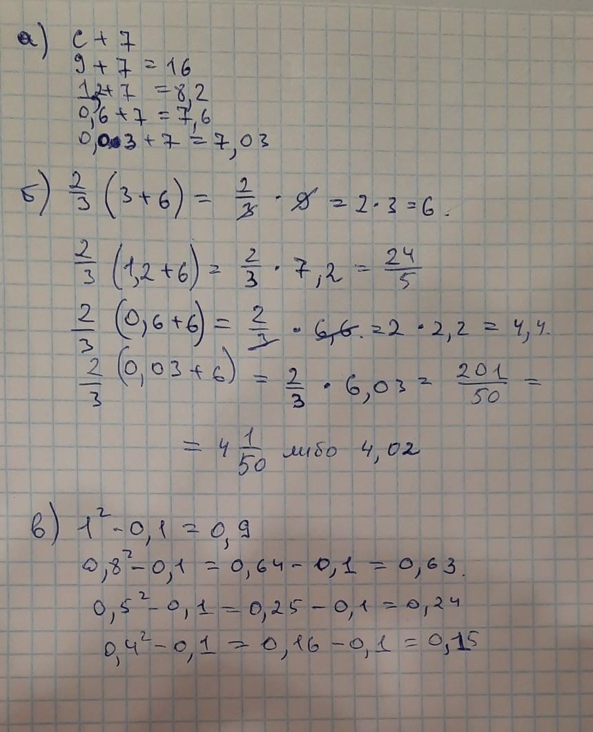
2. Найдите значение выражения: а) с +7 при c= 9; 1, 4; 0,06; 0;
б) 2/3 (a+6) при а =3; 1,2; 0,6; 0,03;
в) 4- 0,5b при b = 0; 0,9; 1,1; 8;
г)n²-0,1 при n=1;0,8; 0,5; 0,4,
Ответы
Ответ дал:
1
Пошаговое объяснение:
было слишком легко конечно)
Приложения:

Вас заинтересует
2 года назад
2 года назад
8 лет назад
9 лет назад