Ответы
Ответ дал:
3
Ответ:
при х=5
Пошаговое объяснение:
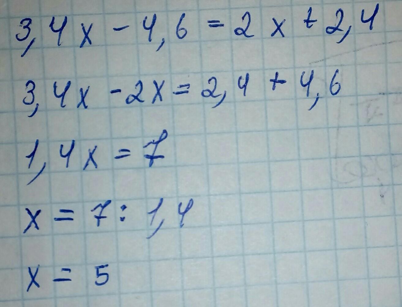
3,4х– 4,6 = 2х + 2,4
3,4x - 2x = 2,4 + 4,6
1,4x = 7
x = 7:1,4
x = 5
Аноним:
спасибо
Ответ дал:
1
Ответ:
Вот все правильно сделано
Приложения:

Вас заинтересует
2 года назад
2 года назад
2 года назад
9 лет назад