• Предмет: Математика
  • Автор: xaraloxdaun
  • Вопрос задан 7 лет назад

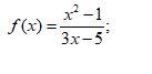
СРОЧНО. Исследовать функцию на экстремум, найти точки перегиба, асимптоты и построить график функции. ПОЖАЛУЙСТА

Приложения:

Ответа на этот вопрос пока нет. Попробуйте найти его через форму поиска.

Вас заинтересует